合作客戶/
拜耳公司 |
同濟大學 |
聯合大學 |
美國保潔 |
美國強生 |
瑞士羅氏 |
相關新聞Info
-
> 4種油醇烷氧基化物平衡和動態表面張力、潤濕性、泡沫性、乳化性質研究(二)
> 不同濃度6∶2氟調磺酸的表面張力測定儀器及結果(二)
> 不同溫度下氟碳鏈長度對表面活性劑理化性能的影響
> 兩親性碳點CDS表面活性劑濃度、膠束對硅酸鹽溶液潤滑性能的影響(一)
> 3種不同類型噴霧助劑對氟啶蟲胺腈藥液表面張力及在蘋果葉片潤濕持留性能測定(二)
> 物理高考考點:晶體、毛細現象、表面張力
> 微流控器件結構對水/水微囊形成過程、界面張力的影響規律(四)
> 酯官能化酰胺型雙子表面活性劑的制備與性能研究
> 幾種陰離子表面活性劑的基本性質及應用性能
> 不同溫度下水波波速和表面張力系數的關系與計算方法【實驗】(二)
推薦新聞Info
-
> 單萜萜類驅油劑界面張力、配伍性、降黏效果及破乳效果測試與篩選(三)
> 單萜萜類驅油劑界面張力、配伍性、降黏效果及破乳效果測試與篩選(二)
> 單萜萜類驅油劑界面張力、配伍性、降黏效果及破乳效果測試與篩選(一)
> 紫檀芪的穩定性增強型抗氧化劑制作備方及界面張力測試——結果與討論、結論
> 紫檀芪的穩定性增強型抗氧化劑制作備方及界面張力測試—— 引言、材料與方法
> 香豆素取代二乙炔LB膜的組裝、聚合及螺旋結構形成機制(下)
> 香豆素取代二乙炔LB膜的組裝、聚合及螺旋結構形成機制(中)
> 香豆素取代二乙炔LB膜的組裝、聚合及螺旋結構形成機制(上)
> 電鍍液表面張力、接觸角、流速以及壓強等因素對硅通孔浸潤過程的影響(二)
> 電鍍液表面張力、接觸角、流速以及壓強等因素對硅通孔浸潤過程的影響(一)
Delta-8食用餐食后人體內十二指腸液的組成及性質——結果和討論、結論、致謝!
來源:上海謂載 瀏覽 2475 次 發布時間:2022-01-10
結果和討論
酸堿度
圖1顯示了五名受試者在三種營養狀態下最初獲得的15分鐘部分的pH值-時間演變。在禁食狀態下,隨著時間的推移,受試者之間的變異性以及受試者內部的變異性是相當大的。因此,很難確定禁食狀態下的一個代表性pH值。盡管如此,盡管在其他已發表的研究中也報告了禁食狀態pH值的變化,但獲得的整體禁食狀態pH值中值6.5在6.1-7.0的范圍內,如文獻中發現的上小腸。19,24–26

圖1。五名健康受試者在禁食(A)、喂食(B)和富含脂肪的喂食(C)狀態HIF中的個人和中值pH值隨時間的變化。(--?--)主題1(··?··)主題2,(·–·)△·–·)主題3,(·-·▽·–·)主題4,(-◇–)受試者5,(――中位)。
在進食后的前3小時內,攝入液態食物導致受試者之間的變異性降低,兩種喂養狀態下的差異不顯著。由于確保Plus1和Scandishake Mix1具有幾乎相同的pH值,這可能是兩種喂食條件下在所檢查的時間段內沒有出現實質性pH值差異的根本原因。似乎給藥餐的pH值對局部pH值也有很大影響,但隨著更多食糜從胃流向十二指腸,pH值降低。這兩種喂食狀態下pH值的降低導致在喂食狀態和富含脂肪的喂食狀態下90到150分鐘之間采集的樣本與整體禁食狀態pH值中值(6.5)之間存在顯著差異。在取樣期的最后2小時內,pH值和可變性逐漸上升到禁食狀態下觀察到的pH值條件。給藥300分鐘后,pH值已恢復到起始值(圖1)。
如材料和方法部分所述,還生成了每個受試者的HIF匯總樣本(表1)。合并樣本的pH值似乎是相對較好的各個中間值估計值,因為未觀察到顯著差異(表2)。然而,混合樣本的中值pH值和pH值均未反映吸入時間函數中觀察到的變異性。其他人也報告了圖1中所示的類似的時間相關曲線。19,25 Dressman等人和Kalantzi等人(分別為3.1和5.2)的研究中達到的最小pH值與圖1中各個剖面中觀察到的3.9–4.9的值相似。不同的方案可能是觀察到的差異的根源(測量方法、25,26類型、25給藥率和給藥路線19、采集時間點、小腸/十二指腸的位置、參與研究的受試者人數);因此,在比較不同研究的價值時應謹慎。
脂質消化產物的濃度
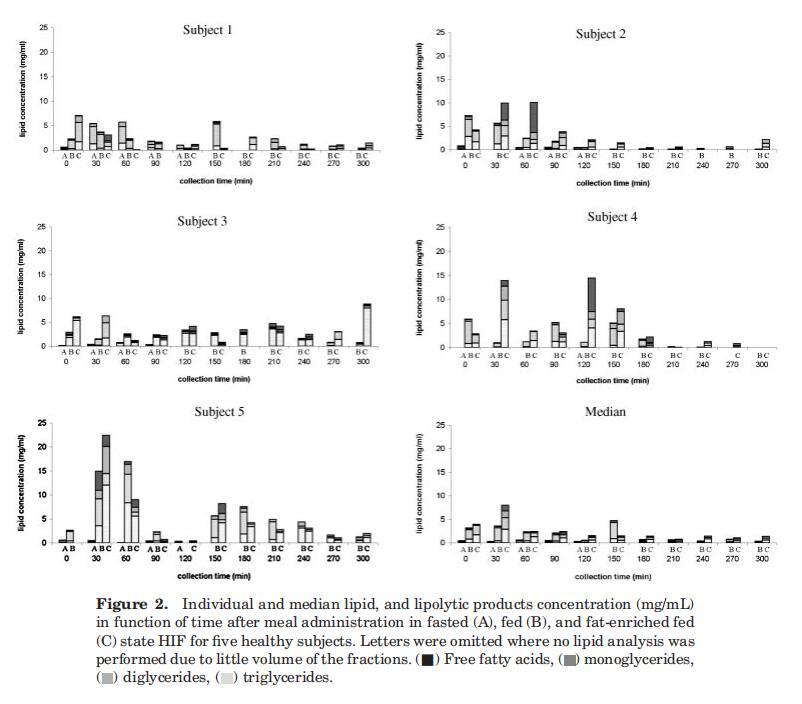
確保Plus1和Scandishake Mix1分別含有4.92 g/100 mL(熱量攝入的29%)和10.13 g/100 mL(熱量攝入的46%)脂肪。兩種液體膳食中的脂肪幾乎完全由TG組成,微量(總共0–1%)有MG、DG和FFA(來自制造商的信息)。兩餐的攝入都會導致十二指腸脂肪消化產物的濃度波動。圖2顯示了五名個體受試者在進食后一段時間內十二指腸吸出物中這些脂質產物的演變。無論是在考慮總脂濃度還是在考慮TG、DG、MG和FFA的相對分布時,都沒有觀察到明顯的時間函數趨勢。
因此,根據這些數據,TG和DG、MG或FFA之間沒有相關性。受試者的總脂質濃度差異很大。與受試者4和5相比,受試者1、2和3在喂食條件下的十二指腸總脂濃度通常較低。Hernell等人也描述了從Treitz角度取樣的十二指腸脂質含量的顯著受試者間差異。27除了明顯的受試者間差異外,個體濃度也隨時間波動。受試者體內的這種變異可能由多種因素解釋,包括胃排空的變化、胃腸道的擴散、同時進行的消化和吸收以及腸道內容物的不均勻分布。利用磁共振成像(MRI),Weitschies及其同事最近證實了腸道內液體的不均勻分布;28腸液被稱為在水囊中分離;此外,研究還表明,進食后小腸液體總量顯著減少。胰脂肪酶在油水界面發揮作用;因此,脂肪分解消化產物預計將在這些水袋的直接環境中釋放。由于水分室不連續分布,脂肪分解產物在小腸中也不均勻分布。這可以解釋剖面中觀察到的可變性。然而,在五名受試者中,隨著時間的推移計算出的總脂質濃度中值顯示,在給藥30分鐘后濃度降低,在給藥120分鐘后達到穩定狀態(圖2)。由于個別pro文件有時與此中間配置文件存在很大差異,因此平均配置文件的有用性可能會受到質疑。29,30然而,這一中位數曲線確實與先前的研究一致,在之前的研究中,攝入食物后約1小時,脂質濃度處于穩定狀態,持續3小時。11,12,31穩態期間描述了恒定的TG濃度,而FFA濃度增加或恒定。在之前的每一項研究中,FFA水平在每個測量點都高于鎂水平;計算得出該比率約為3-6。相反,目前的數據集指出,在整個收集期內,鎂是主要成分,其次是FFA。TG的含量通常非常少或無法檢測到。這可能意味著膳食TG的快速水解,從胃脂肪酶開始。其他人也提出了類似的意見。11,31當將這些數據與以前提出的腸道脂質濃度進行比較時,應注意到以前的濃度始終以摩爾水平表示,而在本研究中,結果以w/v濃度單位表示。因此,MG/FFA的比率在以重量為基礎表示時將以犧牲游離脂肪酸為代價進行移動,當然對于由長鏈脂肪酸組成的脂質材料而言。
表1。三種營養狀態下匯集樣本的腔內參數
對于四名受試者(S2、S3、S4、S5),在禁食狀態HIF中發現微量脂質(平均0.4?0.3 mg/mL),這與Armand等人12報告的受試者1十二指腸吸出物中的禁食水平0.6 mg/mL相符,禁食狀態下的脂質濃度等于或高于30-120分鐘期間在喂食和富含脂肪的喂食狀態下測定的濃度(圖2)。這一觀察的可能原因可能與胃滯留時間和/或小腸上皮細胞的周轉率有關,從而釋放膜脂。在喂食和富含脂肪的喂食狀態之間,根據個體特征,沒有發現實質性差異。然而,中位數曲線顯示,進食30分鐘后,在高脂肪喂養狀態下,總脂質濃度顯著增加。由于沒有觀察到脂質產物在管腔內出現延遲,因此可以得出結論,服用液體膳食的脂肪含量的應用差異不會改變胃排空。先前已經證明,給予恒河猴的碳水化合物、蛋白質和脂肪等熱量負荷產生了相似的胃排空率,這表明胃排空是根據膳食的熱量密度進行調節的,而不管其營養成分如何。32
表2。三種營養狀態下個體和整體中值的腔內參數
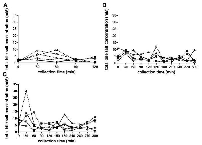
膽鹽濃度
當考慮五個不同的受試者時,總膽汁鹽濃度隨時間的變化在所有三種營養狀態下都呈現波動模式(圖3)。無法定義可應用于每個單獨圖表的清晰的濃度-時間曲線。文獻中也報道了喂食條件下膽汁鹽濃度的高度變化。可以找到高達37 mM27和低至0.5 mM33的值;然而,文獻中觀察到的典型膽鹽濃度約為10mm,在進食后30–60分鐘檢測到。11,12,19,33在本研究中,攝入Sure Plus1后30分鐘,膽汁鹽濃度中值為8.3 mM;在高脂肪喂養狀態下,30分鐘后獲得的中值為11.9 mM。這些中值與文獻中觀察到的典型值一致。相比之下,五名登記受試者的單獨匯集腸道樣本顯示,在兩種喂養狀態下,總膽汁鹽濃度均低于5.3 mM。同樣在禁食狀態下,當不存在膽囊收縮刺激時,可以看到高度可變和時間依賴性的膽鹽濃度:濃度范圍為0.3至9.6 mM(圖3)。Lindahl等人的一項研究也描述了類似的高變異性。34作者報告了24名志愿者的禁食狀態膽鹽濃度,范圍在0.1至13.3 mM之間,總收集時間為150分鐘。Brouwers等人2和Perez de la Cruz Moreno等人24也報告了禁食狀態下的膽鹽濃度單個志愿者的小腸,分別為1.0至5.3 mM和0.5至5.5 mM。使用當前數據集計算的個體膽汁鹽濃度中位數顯示出較小的受試者間變異性,最小值為2.0 mM,最大值為3.0 mM;總體中值為2.6 mM(表2)。這些中值與禁食狀態下報告的膽鹽水平相當吻合:之前的文章描述了禁食狀態下總膽鹽濃度在2.0和5.9mm之間。11–13,19與當前設置中采用的120分鐘的總取樣周期相反,在后述報告中使用單時間點測定來評估空腹水平。11–13,19
圖3。在禁食(A)、喂食(B)和高脂喂食(C)狀態HIF中,總膽汁鹽濃度(mM)隨餐后給藥時間的變化。(--?--)主題1(··?··)主題2,(·–·)△·–·)主題3,(·-·▽·–·)主題4,(-◇–)科目5。
盡管在較低程度上,當檢查受試者的膽汁鹽池成分時,也觀察到了一種可變模式(表3)。膽酸鹽和鵝去氧膽酸鹽(結合膽汁鹽和未結合膽汁鹽之和)至少占總膽汁鹽庫的65%,脫氧膽酸鹽和熊去氧膽酸鹽(結合膽汁鹽和未結合膽汁鹽之和)雖然含量較少,但在每個樣本中都發現。文獻報道了禁食狀態HIF膽汁鹽池成分的主體間變異性。2,24在這些研究中,變異性主要是由于膽鹽與甘氨酸或牛磺酸結合,因為未結合的膽鹽僅占總膽鹽庫的不到3%。研究發現,隨著時間的推移,個體內膽汁鹽組成以及營養狀態之間的一致性相對較高,很少排除異常值(表3)。例如,對于S3和S5,在三種營養狀態下,在整個取樣時間內,相對膽鹽組成相當一致,而對于S4,膽酸的分數在38%和90%之間變化(表2)。
盡管Coure Plus1和Scandishake Mix1在脂肪熱量含量方面存在16%的差異,但在考慮個別膽鹽濃度時,禁食、喂食和富含脂肪的喂食狀態之間沒有統計學上的顯著差異。相比之下,當比較S1、S2、S3和S4混合樣本中的膽鹽濃度時,兩種喂食狀態之間出現了統計上的顯著差異(表1)。由于兩種喂食狀態之間的個體濃度沒有顯著差異,可能是由于報告的高可變性,我們還計算了總膽鹽濃度-時間曲線的AUC0–300 min值,以便比較不同營養狀態下膽鹽分泌的程度。AUC0–300分鐘的數值顯示,服用富含脂肪的膳食后,管腔內膽汁鹽總量在統計學上顯著增加。與禁食狀態(789 mM min)的估計平均AUC值相比,高脂喂養狀態(1644 mM min)的平均AUC值高出兩倍以上(p?0.013)。與禁食狀態相比,喂食狀態下AUC0–300分鐘增加的高受試者間變異性范圍在21%到114%之間,因此喂食狀態下總膽汁鹽水平的增加(平均增加68%)沒有達到統計學意義。這些數據表明,飲食脂肪含量影響膽囊收縮。Froehlich等人35研究了營養脂肪對人體膽囊排空的重要性。該研究中的數據表明,攝入25克可引起最大膽囊收縮。一頓含有8克脂肪的混合餐,相當于卡路里攝入量的29%,與無脂餐的水平相似。Stone等人36進行的一項研究將10克膳食脂肪視為最大膽囊排空刺激的閾值。10克營養脂肪的閾值可以解釋喂食和富含脂肪的喂食狀態之間AUC水平的無顯著差異,因為兩者都確保Plus1和Scandishake Mix1的脂肪含量超過10 g的閾值,這意味著在兩種營養狀態下膽鹽的最大釋放量。
表3。餐后不同時間的個體相對膽汁鹽池成分(%)a
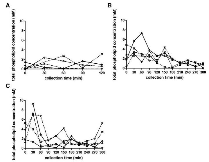
總磷脂濃度
與脂質產品和膽汁鹽類似,在所有三種營養狀態下,取樣人體液中的磷脂濃度顯示出可變的個體濃度-時間曲線(圖4)。所有受試者在禁食狀態下計算的總體中值為0.6 mM。然而,在禁食的上小腸中可以發現高達2.7mM的濃度。胃腸道環境中的磷脂濃度尚未像膽汁鹽那樣被廣泛研究。文獻報道了禁食狀態下總磷脂濃度在0.03和0.2 mM之間。2,13這些值遠低于本研究中測得的濃度。值得一提的是,Persson及其同事測定了混合HIF中的空腹磷脂水平;因此,沒有考慮個體間的變異性。當分析合并樣本時,本研究顯示,在Persson等人13的研究中發現,磷脂濃度(表1)接近0.2 mM。可能是由于受試者之間以及受試者內部的高變異性,三種營養狀態下的十二指腸磷脂濃度沒有發現統計上的差異。此外,磷脂濃度隨時間的變化趨勢不明顯。然而,那些在進食后一段時間內對磷脂濃度進行評論的文章報道,磷脂濃度隨時間的變化而降低。11,12,37盡管在濃度-時間演變上存在差異,但在當前設置中,攝入Sure Plus1或Scandishake Mix1后測定的所有磷脂濃度均在上述文章中報告的濃度范圍內。11,12,37
為了更清楚地了解在給藥液體餐消化過程中分泌的磷脂總量,我們計算了整個采樣周期內的AUC值。這表明,盡管受試者之間存在較高的變異性,且不考慮膳食中的脂肪含量,但在給藥后的前5小時內,食物攝入導致管腔內磷脂水平顯著升高;禁食狀態下的估計平均AUC為208 mM min,而喂食狀態和富含脂肪的喂食狀態下的平均AUC值分別為617 mM min和532 mM min(喂食狀態和富含脂肪的喂食狀態下的平均AUC值分別為p?0.016和0.046)。
圖4。在禁食(A)、喂食(B)和高脂喂食(C)狀態下,總磷脂濃度(mM)隨餐后時間的變化而變化。(--?--)主題1(··?··)主題2,(·–·)△·–·)主題3,(·-·▽·–·)主題4,(-◇–)科目5。
在膽鹽濃度部分,也觀察到禁食狀態下AUC0–300分鐘的差異,盡管這只是在高脂肪喂養狀態下的情況。這可能表明進食后磷脂分泌增加多于膽鹽釋放;禁食狀態下較高的膽鹽/磷脂比率無法證實這一假設。在禁食狀態下確實出現了一些非常高的比率(S3 60分鐘為30,S4 30分鐘為53),但這通常是無效的。最近的一項研究也計算了禁食狀態下十二指腸液中類似的高比率。2在兩個聯邦州,除了一些異常值外,計算的膽鹽/磷脂比率與早期報告一致。攝入食物后,通常會發現比例為2–4:1。11,12,27
滲透壓
圖5顯示了禁食、喂食和富含脂肪的喂食狀態下,滲透壓隨采集時間的變化。給藥后的變異性低于餐后攝入。在喂食狀態下,直到進食后240分鐘,變異性都很高。考慮到整個取樣期和所有五名受試者,在喂食和富含脂肪的喂食狀態下,分別獲得了122至516 mOsm/kg和174至619 mOsm/kg的值。對于禁食狀態,數值范圍為81至306 mOsm/kg。Kalantzi等人19發現了類似的范圍,他們報告了9-12個個體的箱線圖,但沒有報告個體輪廓。根據圖5所示的數據,無法檢測到描述滲透壓隨時間變化的一致曲線。受試者1、2和5的特征是攝入膳食后90分鐘內達到最大值。相比之下,受試者4的滲透壓隨時間增加,在喂食和富含脂肪的喂食狀態下,分別在210分鐘和150分鐘達到最大值。受試者3十二指腸內容物的滲透壓在進食后的整個5小時內保持相對恒定。
圖5。在禁食(A)、喂食(B)和富含脂肪的喂食(C)狀態HIF中,滲透壓(mOsm/kg)隨餐后給藥時間的變化。(--?--)主題1(··?··)主題2,(·–·)△·–·)主題3,(·-·▽·–·)主題4,(-◇–)科目5。
攝入Sure Plus1或Scandishake Mix1后前2小時的滲透壓通常高于禁食狀態下的HIF,盡管禁食狀態和兩種喂食狀態之間未達到顯著差異。禁食狀態滲透壓值一般為低滲透,或接近等滲透值。224 mOsm/kg的總體中值為低滲透性,與Brouwers等人1和Deferme等人報告的人類十二指腸吸出物的平均滲透壓一致。,38但高于Perez de la Cruz Moreno等人報告的平均值。24在給藥(n?3)后,在混合樣品中獲得的滲透壓較低,與Kalantzi等人11和Gisolfi等人報告的滲透壓較好。39在喂食和富含脂肪的喂食狀態下均發現高滲值,尤其是在消化的前3小時。在喂食和富含脂肪的喂食狀態下,總的中位數滲透壓為等滲透壓(分別為285和278 mOsm/kg)。進食后180分鐘內較高的滲透壓與膽汁鹽濃度、磷脂或脂質產物總量無關。Kalantzi等人19將吸入十二指腸內容物的高滲值歸因于雙糖和果糖復合碳水化合物的存在,以及后者的緩慢吸收。在本研究中未確定總碳水化合物水平,因此,該陳述無法驗證。
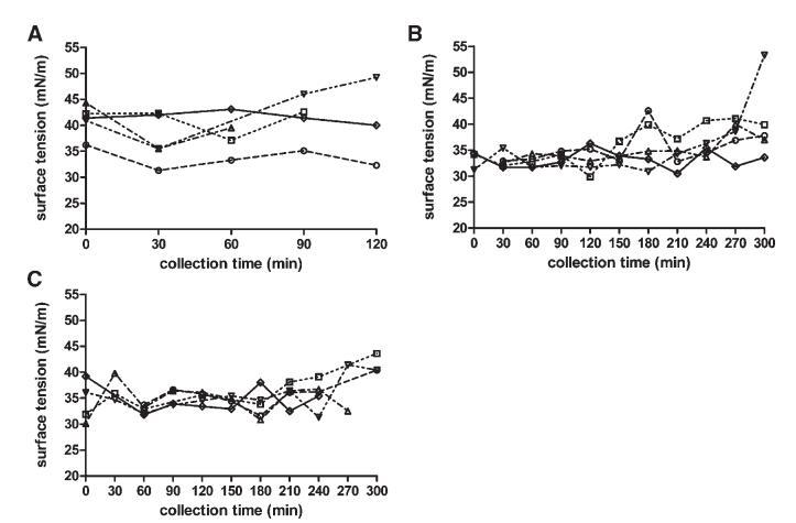
表面張力
Sure Plus1和Scandishake Mix1的表面張力分別為50.5和45.8 mN/m。這些值可能是由于Sure Plus1中存在卵磷脂,Scandishake Mix1粉末中加入乳化劑,以及液體膳食中存在的表面活性蛋白質。圖6顯示了在取樣腸道部分中測量的表面張力隨收集時間的變化。表面張力值相對穩定;與禁食狀態相比,美聯儲狀態下的波動更小。餐后三小時的攝入量變異性略有增加,這與pH值的分布相一致,在取樣期的后半段,pH值的變異性也有所增加。
圖6。在禁食(A)、喂食(B)和高脂喂食(C)狀態下,表面張力(mN/m)隨餐后時間的變化。(--?--)主題1(··?··)主題2,(·–·)△·–·)主題3,(·-·▽·–·)主題4,(-◇–)科目5。
所有取樣十二指腸部分的表面張力均顯著低于水的值(72 mN/m)。攝入液態膳食后,表面張力低于膳食本身的值。在最初的150分鐘內,這一點更為明顯,因為隨后出現了表面張力增加的趨勢。在膳食消化過程中形成和/或內源性分泌的兩親物(MG、FFA、膽鹽和磷脂)很可能是觀察到的表面張力降低的主要原因。這也導致喂食和富含脂肪的喂食狀態下的個體值和禁食總中值(41.2 mN/m)在餐后60至240 min之間發生顯著變化。然而,這無法通過比較三種營養狀態下的個體中值來證實(表2)。最近的一篇文章也報道了攝入Sure Plus1后不同時間點的表面張力與攝入30分鐘后采集的HIF相比有顯著差異。19
結論
在本篇文章中,人類十二指腸內容物在進食后的一段時間內就幾種不同的腸道參數進行了表征,包括pH值、脂解產物、膽鹽、磷脂、滲透壓和表面張力。據我們所知,之前從未進行過攝入不同營養成分膳食后十二指腸液的受試者內表征。由于研究方案可能在多個方面有所不同,并且由于不同類型的試驗餐在整個文獻的不同研究中使用,結果的比較并不總是簡單的。上述結果清楚地說明了所有檢查的腔內參數在個體之間的高度可變性。此外,這些參數隨時間變化的波動增加了復雜性。因此,不能假設管腔內成分隨時間的具體趨勢。這意味著餐后腸道內容物的特征不容易在每個參數的單個值或時間曲線中呈現;主體內和/或主體間變化的重要性不會被提出。數據表明,通過報告單一代表性值,可變性將被掩蓋;匯集的HIF樣本以及計算的中隔的腔內參數值通常與文獻中報告的典型值一致,這一事實證實了這一點。作為一個實際的折衷方案,最近有人提議使用三種不同的模擬腸液來表示餐后腸道環境。40腔內參數值的變化可能是一組因素的結果,包括可變的胃排空、沿胃腸道的擴散、同時進行的消化和吸收以及不均勻分布的腸道內容物。腸道液體可能分布到水袋28是最近的觀察結果,需要進一步研究。鑒于本研究中觀察到的變異性,可以建議增加志愿者人數。然而,估計用于檢測研究中每個物理化學參數存在差異的最小受試者人數并不容易,因為可變性水平隨參數而變化。
服用Sure Plus1或Scandishake Mix1后,確定的腸道參數的時間曲線沒有實質性差異。應根據體內藥物溶解度和生物利用度來解釋所提出的結果。高度可變的腔內成分可能導致高度可變的藥物溶解和增溶,這取決于到達十二指腸的時間,可能是喂養狀態下腸道吸收變化的重要來源。30如果十二指腸內事件對其腸道吸收很重要(例如,II類化合物在十二指腸內的溶解),這也可能導致體外-體內相關性的變異。然而,平均輪廓可能證明其在驗證體外設置中的有用性。
致謝
這項研究由佛蘭德斯科學技術促進創新研究所(IWT Vlaanderen)的博士學位資助,以及佛蘭德斯“voor Wetenschapelijk Onderzoek(FWO)”基金會和比利時魯汶大學“Onderzoeksfonds”基金會的資助。我們還要感謝Rita Vos和Toon De Greef(比利時魯汶大學醫院胃腸病學)在體內研究期間提供的幫助。感謝Kelly Swinney(比利時比爾斯強生公司)在表面張力測量期間的協助,感謝Diny Knol和Irene Samwel(荷蘭弗拉丁根聯合利華食品與健康研究所)在脂質GC測量方面的幫助,盧卡斯教授(德國波恩大學臨床藥理學系)負責他在膽汁鹽測量中的合作。





