合作客戶/
拜耳公司 |
同濟大學 |
聯合大學 |
美國保潔 |
美國強生 |
瑞士羅氏 |
相關新聞Info
-
> 表面張力儀測試預熱具體方法
> 礦用塵克(C&C)系列除塵劑對大采高工作面截割煤塵的降塵效率影響(一)
> 新型陽離子黏土穩定劑防膨、絮凝及表面張力的性能測試
> 什么是超微量天平,超微量天平使用方法、最小稱量值
> 基于表面張力的開放式微流體平臺,利用微柱重建三維肺部細胞微環境
> 應用熒光顯微鏡研究了蛋白質在氣-水界面的組裝——材料和方法
> 可視化實驗方法研究電場作用下液滴撞擊表面的動態行為(三)
> 高沸點表面活性劑對納米LiBr溶液表面張力沸騰溫度的影響(下)
> 高性能氟碳防水鎖劑(FS-1)對鹽水溶液表面張力的影響
> 微凝膠顆粒在氣液界面處吸附動力學及動態方程研究——結果和討論、結論、致謝!
推薦新聞Info
-
> 單萜萜類驅油劑界面張力、配伍性、降黏效果及破乳效果測試與篩選(三)
> 單萜萜類驅油劑界面張力、配伍性、降黏效果及破乳效果測試與篩選(二)
> 單萜萜類驅油劑界面張力、配伍性、降黏效果及破乳效果測試與篩選(一)
> 紫檀芪的穩定性增強型抗氧化劑制作備方及界面張力測試——結果與討論、結論
> 紫檀芪的穩定性增強型抗氧化劑制作備方及界面張力測試—— 引言、材料與方法
> 香豆素取代二乙炔LB膜的組裝、聚合及螺旋結構形成機制(下)
> 香豆素取代二乙炔LB膜的組裝、聚合及螺旋結構形成機制(中)
> 香豆素取代二乙炔LB膜的組裝、聚合及螺旋結構形成機制(上)
> 電鍍液表面張力、接觸角、流速以及壓強等因素對硅通孔浸潤過程的影響(二)
> 電鍍液表面張力、接觸角、流速以及壓強等因素對硅通孔浸潤過程的影響(一)
氣溶膠固定劑PAM-b-PVTES合成路線及GPC、DSC、表面張力等性能測試(二)
來源:精細化工 瀏覽 971 次 發布時間:2025-03-05
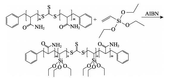
1.2.2大分子鏈轉移劑PAM-CTA的制備
PAM-CTA合成路線如下所示:
在500 mL四口燒瓶中加入200 g無水乙醇、10 g(0.14 mol)AM和一定量DBTTC〔其中,n(AM)∶n(DBTTC)=100∶1、200∶1、300∶1、500∶1、700∶1、1000∶1〕,超聲混合均勻后再加入0.0231 g(0.14 mmol)AIBN,然后在70℃下反應8 h。反應結束后,趁熱出料,過濾。在超聲條件下,用正己烷洗滌沉淀,過濾,重復數次,除去未反應完全的反應物,在45℃下真空干燥24 h,得到淡黃色的PAM-CTA固體粉末。將上述不同n(AM)∶n(DBTTC)制得的產物依次命名為PAM-CTA-1、PAM-CTA-2、PAM-CTA-3、PAM-CTA-4、PAM-CTA-5、PAM-CTA-6。
1.2.3雙親性嵌段共聚物PAM-b-PVTS的合成PAM-b-PVTES合成路線如下所示:
在500 mL四口燒瓶中加入300 g無水乙醇、0.0231 g(0.14 mmol)AIBN和10.0816 g(0.28 mmol)PAM-CTA-4,用超聲波將PAM-CTA-4混合均勻分散,再加入VTES〔其中,n(VTES)∶n(AM)=5∶100、10∶100、15∶100、20∶100〕,在70℃下反應8 h。反應結束后趁熱出料,過濾。在超聲條件下,用正己烷洗滌沉淀,過濾,重復數次,在45℃真空干燥24 h,得到PAM-b-PVTES固體粉末。將上述不同n(VTES)∶n(AM)制得的產物依次命名為PAM-b-PVTES-1、PAM-b-PVTES-2、PAM-b-PVTES-3、PAM-b-PVTES-4。
1.3結構表征與性能測試
1.3.1結構表征
FTIR測試:采用溴化鉀壓片法進行FTIR測試。1HNMR測試:DBTTC采用氘代丙酮作溶劑,PAM-CTA-4和PAM-b-PVTES-2采用重水作為溶劑。
1.3.2性能測試
DSC測試:測試溫度在0~220℃之間,升溫速率為20℃/min,測試氣氛為N2,第一次升溫到220℃后,為了消除樣品的熱歷史,按照20℃/min速率降溫到–20℃,隨后對樣品進行第二次升溫,升溫速率20℃/min,N2氣氛。GPC測試:以水為流動相,聚苯乙烯(PS)為標準樣品,測試共聚物的相對分子質量及其分布。黏度測試:配制固含量為20%的共聚物水溶液,在恒溫(25℃)下測定其黏度,結果為6次測試的平均值。表面張力測試:配制固含量為20%的共聚物水溶液,在恒溫(25℃)下測定其共聚物水溶液的表面張力,結果為6次測試的平均值。接觸角測試:由于放射性氣溶膠不易控制和采集,因此,選用PTI-A2實驗粉塵來模擬放射性氣溶膠粉塵。配制固含量為20%的共聚物水溶液,將3 g PTI-A2實驗粉塵壓制成小圓片,測定不同單體比例的共聚物水溶液與PTI-A2實驗粉塵的接觸角。
1.3.3氣溶膠沉降固定實驗
用流化床氣溶膠發生器將4 g PTI-A2實驗粉塵均勻地分散到自制8 m3密閉空間中,隨后霧化噴淋1 L壓制劑或固定劑,霧化噴淋結束后,在無擾動情況下采用空氣動力學粒徑譜儀檢測氣溶膠在20 min內單位體積內顆粒數的變化情況。
2結果與討論
2.1 FTIR和1HNMR分析
選用PAM-CTA-4和PAM-b-PVTES-2樣品進行FTIR和1HNMR表征。
圖1為聚合物的FTIR譜圖。由圖1可知,對于PAM-CTA-4,3202 cm–1處為—NH2的伸縮振動吸收峰,1620 cm–1處為C==O鍵的伸縮振動吸收峰,1192 cm–1處的吸收峰為C—S鍵的伸縮振動,1049 cm–1處的吸收峰為C==S鍵的伸縮振動,1415 cm–1處的吸收峰歸屬于苯環骨架的伸縮振動,639 cm–1處的吸收峰為苯環上單取代的特征峰,表明聚合物PAM-CTA-4已經成功制備。在PAM-b-PVTES-2的FTIR譜圖中,879 cm–1處為Si—C鍵的伸縮振動吸收峰,1087 cm–1處為Si—O鍵的伸縮振動吸收峰,表明聚合物已成功制備。
圖1 PAM-CTA-4和PAM-b-PVTES-2的FTIR譜圖
圖2為DBTTC、PAM-CTA-4和PAM-b-PVTES-2的1HNMR譜圖。如圖2所示,DBTTC的1HNMR譜圖曲線中δ=1.92(a)為氘代丙酮的質子峰,δ=7.13~7.31(b)是苯環上的質子峰;δ=4.56(c)的峰為亞甲基(—CH2—)的質子峰;δ=2.62(i)為DBTTC樣品中含有的極少量H2O的質子峰,可以確定成功合成了RAFT試劑DBTTC。PAM-CTA-4和PAM-b-PVTES-2的1HNMR譜圖曲線中,δ=4.80(j)為重水(D2O)的質子峰;δ=7.27~7.48(b)是苯環上的質子峰;δ=4.82(d)為酰胺基(—NH2)的質子峰;δ=1.95~2.24(e)是主鏈上的次甲基(—CH—)的質子峰;δ=1.31~1.66(f)是主鏈上的亞甲基(—CH2—)的質子峰。在PAM-CTA-4曲線中,δ=3.78~3.82(c)為與苯環相連亞甲基的質子峰。PAM-b-PVTES-2曲線中δ=3.39~3.43(c+h)為與苯環相連和乙烯基中的亞甲基(—CH2—)質子峰;δ=0.93~0.95(g)為有機硅中甲基(—CH3)的質子峰。通過FTIR譜圖和1HNMR譜圖可以確定合成了PAM-CTA-4和PAM-b-PVTES-2。
圖2 DBTTC、PAM-CTA-4和PAM-b-PVTES-2的1HNMR譜圖
氣溶膠固定劑PAM-b-PVTES合成路線及GPC、DSC、表面張力等性能測試(一)
氣溶膠固定劑PAM-b-PVTES合成路線及GPC、DSC、表面張力等性能測試(二)





