合作客戶/
拜耳公司 |
同濟大學 |
聯合大學 |
美國保潔 |
美國強生 |
瑞士羅氏 |
相關新聞Info
推薦新聞Info
-
> 單萜萜類驅油劑界面張力、配伍性、降黏效果及破乳效果測試與篩選(三)
> 單萜萜類驅油劑界面張力、配伍性、降黏效果及破乳效果測試與篩選(二)
> 單萜萜類驅油劑界面張力、配伍性、降黏效果及破乳效果測試與篩選(一)
> 紫檀芪的穩定性增強型抗氧化劑制作備方及界面張力測試——結果與討論、結論
> 紫檀芪的穩定性增強型抗氧化劑制作備方及界面張力測試—— 引言、材料與方法
> 香豆素取代二乙炔LB膜的組裝、聚合及螺旋結構形成機制(下)
> 香豆素取代二乙炔LB膜的組裝、聚合及螺旋結構形成機制(中)
> 香豆素取代二乙炔LB膜的組裝、聚合及螺旋結構形成機制(上)
> 電鍍液表面張力、接觸角、流速以及壓強等因素對硅通孔浸潤過程的影響(二)
> 電鍍液表面張力、接觸角、流速以及壓強等因素對硅通孔浸潤過程的影響(一)
神經元鈣傳感蛋白(NCS1)的膜結合性能研究【上】
來源:上海謂載 瀏覽 2116 次 發布時間:2022-07-06
摘要
神經元鈣傳感器-1(NCS1)屬于神經元鈣傳感器(NCS)蛋白家族。NCS1由四個EF-手基序和一個N-末端肉豆蔻酰化組成。然而,鈣-肉豆蔻酰開關在NCS1中的存在及其在膜結合中的作用存在爭議。因此,Langmuir脂質單層模型用于模擬細胞膜,以表征NCS1的膜相互作用。從單層測量中計算出兩個結合參數:最大插入壓力,在該壓力下蛋白質結合是能量有利的,以及協同作用,報告與脂質單層的吸引或排斥相互作用。在肉豆蔻酰化NCS1存在下進行的結合膜測量顯示,由磷酸乙醇胺極性頭基和不飽和脂肪酰基鏈組成的磷脂具有更好的結合相互作用。在沒有鈣的情況下,膜結合測量值被徹底修改,表明蛋白質與膜的結合更牢固。事實上,NCS1的三個EFhand基序與鈣的結合導致構象變化。因此,膜上的NCS1排列可以重新排列,以更好地與其基質相互作用。NCS1的N末端肽由兩個參與NCS1膜相互作用的兩親螺旋組成。此外,肉豆蔻酰基的存在對NCS1的膜結合有微弱的影響,表明該蛋白質中缺乏鈣-肉豆蔻酰基開關機制。因此,肉豆蔻酰化可能在NCS1的折疊/去折疊中發揮所需的結構作用,這對其多種生物學功能至關重要。
1、引言
鈣信號在細胞功能中起著至關重要的作用[1-3]。事實上,鈣是一種細胞內信使,參與多種生物過程,如神經元可塑性和神經傳遞[4-7]。細胞對鈣反應的多樣性由一個EF-hand鈣結合蛋白家族提供,包括神經元鈣傳感器(NCS)蛋白亞家族[8-10]。NCS家族有14個成員,由四個EF-手基序(兩個由短環區連接的螺旋)和一個N-末端肉豆蔻酰化共識序列組成。
在NCS家族的蛋白質中,神經鈣傳感器-1(NCS1)在大多數神經元類型以及發育中的心肌細胞和肥大細胞中表達[11-13]。NCS1主要定位于細胞膜,參與多種功能,如促進神經遞質釋放[14-17],調節磷脂酰肌醇4-激酶[18-21]的脂質激酶活性和調節鉀通道[22]。NCS1是一種22 kDa肉豆蔻酰化蛋白,具有四個EF-手基序,其中EF1是隱蔽的,因此不與鈣結合。之前已經確定了鈣存在下非肉豆蔻酰化NCS1的三維結構(圖S1)[23]。EF-hands 1-3的鈣結合誘導蛋白質的構象變化,導致C-末端片段的擠出和大的疏水裂縫的暴露[23,24]。這種構象變化允許蛋白質通過其疏水裂縫結合多種底物[25-29]。
鈣-肉豆蔻基開關是一種分子調節機制,導致肉豆蔻基在鈣存在的情況下從疏水裂縫中擠出[30-35]。鈣-肉豆蔻酰開關的存在已被證明存在于幾種NCS蛋白質中,如recoverin、VILIP-1、VILIP-3和hippocalcin。然而,存在鈣的非肉豆蔻酰化NCS1的三維結構不允許確認這種機制的存在[23]。此外,在NCS1中存在鈣-肉豆蔻酰開關是有爭議的。核磁共振(NMR)、熒光和平衡鈣結合測量表明,芽殖酵母的NCS1同系物(Frq1)可能具有鈣-肉豆蔻酰開關[36]。這一建議得到了裂變酵母(NCS1)NCS1同系物核磁共振結構測定的支持[28]。事實上,Ncs1十四烷基在沒有鈣的情況下被埋入空腔中,在有鈣的情況下被擠出。然而,NCS1、NCS1和Frq1的序列不相似,可能導致結構差異(圖1)。事實上,分裂酵母Ncs1和芽殖酵母Frq1與哺乳動物Ncs1的同源性分別為69.5%和60.0%。此外,結構分析允許識別NCS1 N-末端段內6個殘基的基序,即使在沒有鈣的情況下,這些基序也將肉豆蔻酰基鎖定在暴露的構象中[29]。這6個殘基基基序(圖1中以紅色突出顯示)對于每個物種都非常不同。這種差異可以解釋Frq1和Ncs1存在鈣-肉豆蔻酰開關,這與它們的人類同源物Ncs1不同。NCS1功能的模型強調了與鈣的存在無關的本構膜結合[37]。此外,鈣在體外和神經細胞系中的膜結合不需要鈣,這表明缺乏鈣-肉豆蔻酰開關[37,38]。其他出版物使用這些不同的結果來證實或否認NCS1中存在鈣-肉豆蔻酰開關[10,27,39-41]。盡管對NCS1進行了大量研究,但鈣-肉豆蔻酰開關的存在仍有疑問,其確切機制尚待確定。
圖1.人類NCS1(橙色)、裂變酵母NCS1(粉紅色)和芽殖酵母Frq1(藍色)的序列比對。在鈣存在和不存在的情況下,負責肉豆蔻基擠出的基序用紅色表示[29](為了解釋本圖例中對顏色的引用,讀者請參閱本文的網絡版本)。
本出版物旨在研究在鈣及其肉豆蔻酰基存在和不存在的情況下NCS1的膜結合,以解決當前的爭議。此外,關于NCS1膜結合的信息很少。核磁共振分配表明,在膜存在和不存在的情況下,NCS1發生結構變化[42]。此外,對兩種不同的脂質囊泡(棕櫚酰油酰基磷酸絲氨酸POPS和棕櫚酰油酰基磷酸膽堿POPS)進行了熒光測量,表明NCS1以鈣依賴性方式結合POPS囊泡[24]。最后,免疫細胞化學數據顯示,在Triton X-100提取后獲得的耐去污膜(DRM)中發現少量NCS1[43]。然而,磷脂的組成對NCS1的膜結合的影響尚未描述。在本出版物中,Langmuir脂質單層模型用于模擬細胞膜,并確定幾種條件下NCS1的膜結合參數。
首先,研究了肉豆蔻酰化NCS1(mNCS1)在具有不同磷脂單分子膜的鈣存在下的膜結合行為。這些數據可以表征磷脂成分對蛋白質結合的影響。然后在沒有鈣的情況下進行相同的實驗,以了解構象變化對其結合的影響。然后研究了非肉豆蔻酰化NCS1(nmNCS1)的行為,以突出肉豆蔻酰基團在存在或不存在鈣的情況下的作用。最后,使用一種類似于NCS1 N末端片段的肽來更好地了解其在蛋白質膜結合中的作用。
2、材料和方法
2.1.布料
用于制備緩沖溶液的去離子水來自Barnstead Nanopure系統(Barnstead,Dubuque,IA)。其電阻率和表面張力在20?C分別為18.2 M×cm和72 mN/M。磷脂來自Avanti極性脂質(Alabaster,Al):二棕櫚酰膽堿(DPPC)、二硬脂酰膽堿(DSPC)、二油酰膽堿(DOPC)、二氧羰基六烯醇磷酸膽堿(DDPC)、二棕櫚酰磷酸乙醇胺(DPPE)、二硬脂酰磷酸乙醇胺(DSPE)、二油酰磷酸乙醇胺(DOPE),雙二十二碳六烯基磷酸乙醇胺(DDPE)、二棕櫚酰磷酸絲氨酸(DPPS)、二硬脂酰磷酸絲氨酸(DSPS)、二油酰磷酸絲氨酸(DOPS)和雙二十二碳六烯基磷酸絲氨酸(DDPS)。CaCl2、Hepes和巰基乙醇來自西格瑪(密蘇里州圣路易斯)。KCl和EGTA來自實驗室Mat(魁北克,QC)。由DO和DD酰基鏈組成的溶液在氯仿中以0.1 mg/mL的濃度制備,并在氬氣下儲存,在5.5 mg/mL的抗氧化劑BHT存在下?20?C、所有其他化學品均按收到時使用。
2.2.NCS1的表達和純化
mNCS1和nmNCS1如前所述過表達和純化[44,45]。使用標準9-芴甲氧基羰基/二丙基碳二亞胺(Fmoc/DIC)化學[46]通過固相程序合成N-末端肽。在合成的最后一步,使用肉豆蔻酸酐和標準偶聯程序[46]對N-末端甘氨酸進行肉豆蔻酰化。
2.3.結合參數的測量
使用DeltaPi4微張力計和Kibron Inc.(芬蘭赫爾辛基)的500L玻璃槽(2 cm2),通過Wilhelmy方法測量表面壓力()。在每次實驗之前,用自來水沖洗玻璃槽,然后在乙醇存在下用Q-Tip刷洗。在用去離子水進行大量沖洗之前,這些清洗重復3次。然后通過表面抽吸干燥槽。實驗裝置放置在21±1的有機玻璃箱內?C帶濕度控制。亞相緩沖液包含50 mM Hepes、3 mM巰基乙醇、50 mM KCl和pH 7.2下的1 mM CaCl2或5 mM EGTA。
將幾微升溶解在氯仿(1 mg mL)中的磷脂分散成磷脂單層?1)直到達到所需的初始表面壓力(i)。攤鋪溶劑蒸發和薄膜達到平衡的等待時間隨脂質類型、攤鋪體積、初始表面壓力和脂質濃度而變化[47]。然后將NCS1注入該單層下方,以達到274nm的最佳最終濃度。監測蛋白質與磷脂單層結合的動力學,直到在不攪拌的情況下(通常為3小時)達到平衡表面壓力(e)。注入NCS1后測得的表面壓力增加()對應于e–i。
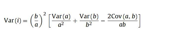
結合參數的計算如前所述[47,48]。簡而言之,在脂質單層的不同i值下進行蛋白質結合測量。然后,作為i函數的圖允許通過將圖的回歸外推到x軸來確定最大插入壓力(MIP)。MIP的不確定性是根據前面描述的線性回歸實驗數據的協方差計算的[48]。事實上,這種不確定性已確定如下:回歸y=ax+b可以從的圖中獲得,作為i的函數。MIP在y=0時計算。因此,x=?b/a或i=?b/a.因此,置信區間(CI)由以下公式得出:95%CI=i±1.96 Var(i),其中1.96的值來自95%置信區間的標準正態(z)分布表中的z值。Var(i)由delta方法確定,使用,
其中,Var(a)和Var(b)由標準誤差(SE)的平方獲得,例如Var(a)=SE(a)2。使用SPSS軟件計算a和b的SE。Cov(a,b)通過使用,
其中′x是i的平均值,而是使用SPSS軟件獲得的剩余平均值。協同值對應于圖e的線性回歸斜率,作為圖i的函數[47]。也可以通過將的線性回歸斜率加1作為i的函數來獲得[49]。使用((e)(1)計算協同效應的不確定性?r2)1/2)/((i)(n)?2)1/2),其中是標準差,r是相關系數,n是點數。我們最近創建了一個免費的網頁,在那里可以很容易地計算這些綁定參數和實驗誤差(/http://www.crchudequebec.ulaval.ca/BindingParametersCalculator/)。
使用以下適用于Pitcher等人[50]測量的表面壓力的拉伸指數方程擬合蛋白質或肽在磷脂單分子膜上吸附期間記錄的表面壓力與時間的值:?ie?(kt)ˉ,其中t是時間t時單層的表面壓力,k是速率系數,t是時間,ˉ是固定為0.001的指數比例因子。
結果和討論
3.1.mNCS1的膜結合
細胞膜是復雜的脂質雙層,在一些生物過程中起著至關重要的作用。此外,大約25%的整個蛋白質組與這些膜動態相互作用,并參與其不同的功能[51,52]。Langmuir脂質單層是一種巧妙的模型膜系統,用于研究空氣/水界面的蛋白質-脂質相互作用[48,53-56]。此外,雙層和單層之間存在直接熱力學關系[57,58]。該模型可以通過控制不同參數(如表面壓力)來表征蛋白質吸附和脂質特異性。如第2.3節所述,最大插入壓力(MIP)和協同作用是兩個結合參數,可以通過單層測量計算。MIP值是蛋白質結合能量有利的最大表面壓力。負協同值表示蛋白質與磷脂單層的不利結合,而正協同值表示有利結合[47]。事實上,該參數與蛋白質和脂質單層之間的協同作用有關。在有鈣和無鈣的情況下,計算了mNCS1的這兩個參數,以表征mNCS1的膜結合以及該離子對其結合的影響。
3.1.1.鈣存在下mNCS1的膜結合
為了在每次實驗中獲得最佳且可重復的表面壓力變化,蛋白質的量必須使脂質單層飽和。因此,在朗繆爾槽中注入了幾種濃度的NCS1。平衡時的表面壓力值在274 nM的濃度下達到平臺(圖S2)。該飽和濃度用于所有后續實驗。
NCS1主要表達于神經元、肥大細胞和心肌細胞[11-13]。神經元膜由51 mol%的磷酸膽堿(PC)、29 mol%的磷酸乙醇胺(PE)和5 mol%的磷酸絲氨酸(PS)組成[59]。類似地,肥大細胞膜由50 mol%PC、25 mol%PE和15 mol%PS組成[60]。此外,心肌細胞膜由23 mol%PC、41 mol%PE和8 mol%PS組成[61]。PE是一個較小的兩性離子極性頭基團,而PC是一個較大的(圖S3)。PS也比PE大,帶負電。這三個最具代表性的極性頭基團已用于存在不同脂肪酰基鏈的情況下,以評估脂質成分對NCS1膜結合的影響。事實上,已經選擇了四個脂肪酰基鏈(二棕櫚酰DP、二硬脂酰DS、二油酰基DO和二羰基六烯基DD)(圖S3)。細胞膜主要由這四條脂肪酰基鏈組成,這四條脂肪酰基鏈通常占總脂肪酰基鏈的60%以上。例如,心肌細胞膜由14 mol%DS、27 mol%DP、16 mol%DO和5 mol%DD組成,帶有PE極性頭群[61]。DP和DS分別是由16個和18個碳組成的飽和脂肪酰基鏈。DO和DD分別是由18個和22個碳組成的不飽和脂肪酰基鏈。DO只有一個不飽和(雙鍵),而DD有6個不飽和。這些組成差異會導致幾種物理狀態(液體膨脹、液體冷凝或固體冷凝),這些物理狀態會影響蛋白質的膜結合[49]。此外,細胞膜的脂質在大多數細胞器(包括質膜)的膜中不對稱分布(見參考文獻[62])。因此,Langmuir脂質單層模型允許獨立測定蛋白質與外膜或內膜小葉中脂質的結合。因此,在鈣存在的12種不同磷脂單分子膜下注射了mNCS1。
確定綁定參數的典型示例如圖2所示。實際上,對于6.0、8.0、16.2和24.2 mN/m的i,分別獲得了21.0、19.0、12.9和8.0 mN/m的(圖2插圖)。被繪制為i的函數,導致負斜率。因此,在DPPE存在的情況下,mNCS1的MIP值為35.8±1.1 mN/m,協同值為0.30±0.02。這種積極的協同作用表明mNCS1和這種脂質單層之間發生了積極的相互作用。然后,以不同的i注射每種脂質和MIP,并根據表面壓力動力學計算協同值。
圖2.在鈣存在下測定mNCS1與DPPE單層結合參數的典型示例。最大插入壓力(MIP)通過外推圖作為初始表面壓力(i)的函數來確定,其中曲線在x軸上達到0值。通過在該圖的斜率上添加一個來計算協同效應。插圖:mNCS1在6.0、8.0、16.2和24.2 mN/m的不同i下與DPPE單層的典型結合動力學,作為達到平衡(e)的時間函數(為清楚起見,僅顯示了一些動力學)。從表面壓力的增加(–i)中減去初始表面壓力,并繪制為時間的函數。
圖3比較了含12種不同磷脂的mNCS1的MIP值和協同值(數值見表S1)。膜側壓力的估計范圍為30–35 mN/m[63–70]。因此,可以假設低于下限的MIP(30 mN/m)表明蛋白質不會穿透細胞膜。然而,MIP大于下限將表明蛋白質將能夠廣泛滲透到生物膜中。用PS和PC脂質單層觀察到的所有MIP值均低于估計的膜側壓力下限(~30 mN/m),DOP除外。然而,在PE脂質單層中觀察到的MIP值大于或等于30 mN/m。這些數據表明,mNCS1可能與由PE組成的膜結構域在生理上相互作用,與由PC和PS組成的結構域不同。在mNCS1中觀察到的協同值證實了這一趨勢。事實上,PE脂質單分子膜的協同值大于PS和PC脂質單分子膜的協同值,DO脂肪酰基鏈除外。此外,與四種PE脂質單分子膜觀察到的協同值相當高。這些數據證實了mNCS1對PE脂質單分子膜更好的結合作用。這種趨勢可以用PE特性來解釋,PE特性是一種廣泛存在于神經元膜中的兩性離子極性頭群[59]。事實上,其弱位阻可以允許mNCS1插入脂肪酰基鏈,而不管脂肪酰基鏈如何。
圖3.在鈣存在下,使用DPP、DSP、DOPS、DDPS、DPPC、DSPC、DOPC、DDC、DDPC、DPPE、DSPE、DOPE、DOPE和DDPE單層的mNCS1的MIP(A)和協同(B)值。MIP和synergy值的不確定性如第2.3節所述計算。
在DPP和DPPC單分子膜的存在下觀察到負協同值,表明NCS1與這些脂質的結合不利。此外,提及排除壓力比提及aMIP更合適。實際上,協同作用小于0時獲得的MIP可以稱為“排斥壓力”,因為它對應于蛋白質和單層之間的排斥。在DPP存在下觀察到的強排斥(協同作用?0.12±0.07)可以用mNCS1的電荷分布來解釋(圖4)。事實上,將與單分子膜相互作用的片段可能帶負電,因此由于PS極性頭基團的負電荷而被靜電斥力延遲。然后,分布在整個蛋白質中的多個負電荷可能在蛋白質與膜的結合和定向中發揮作用。相反,PC極性頭基是兩性離子,但具有很強的空間位阻。這種構象可以解釋MIP的低值,在這種極性頭部基團中低于30 mN/m,因此mNCS1結合PC脂質單分子膜的能力降低。
圖4.nmNCS1結構上的正(紅色)和負(藍色)電荷(PDB 2LCP)[23](關于此圖例中顏色的說明,讀者請參閱本文的web版本)。





