合作客戶/
拜耳公司 |
同濟大學 |
聯合大學 |
美國保潔 |
美國強生 |
瑞士羅氏 |
相關新聞Info
-
> 表面張力儀測試預熱具體方法
> 礦用塵克(C&C)系列除塵劑對大采高工作面截割煤塵的降塵效率影響(一)
> 新型陽離子黏土穩定劑防膨、絮凝及表面張力的性能測試
> 什么是超微量天平,超微量天平使用方法、最小稱量值
> 基于表面張力的開放式微流體平臺,利用微柱重建三維肺部細胞微環境
> 應用熒光顯微鏡研究了蛋白質在氣-水界面的組裝——材料和方法
> 可視化實驗方法研究電場作用下液滴撞擊表面的動態行為(三)
> 高沸點表面活性劑對納米LiBr溶液表面張力沸騰溫度的影響(下)
> 高性能氟碳防水鎖劑(FS-1)對鹽水溶液表面張力的影響
> 微凝膠顆粒在氣液界面處吸附動力學及動態方程研究——結果和討論、結論、致謝!
推薦新聞Info
-
> 單萜萜類驅油劑界面張力、配伍性、降黏效果及破乳效果測試與篩選(三)
> 單萜萜類驅油劑界面張力、配伍性、降黏效果及破乳效果測試與篩選(二)
> 單萜萜類驅油劑界面張力、配伍性、降黏效果及破乳效果測試與篩選(一)
> 紫檀芪的穩定性增強型抗氧化劑制作備方及界面張力測試——結果與討論、結論
> 紫檀芪的穩定性增強型抗氧化劑制作備方及界面張力測試—— 引言、材料與方法
> 香豆素取代二乙炔LB膜的組裝、聚合及螺旋結構形成機制(下)
> 香豆素取代二乙炔LB膜的組裝、聚合及螺旋結構形成機制(中)
> 香豆素取代二乙炔LB膜的組裝、聚合及螺旋結構形成機制(上)
> 電鍍液表面張力、接觸角、流速以及壓強等因素對硅通孔浸潤過程的影響(二)
> 電鍍液表面張力、接觸角、流速以及壓強等因素對硅通孔浸潤過程的影響(一)
高速運動的微小水滴撞擊深水液池產生的空腔運動及形成機理(三)
來源:物理學報 瀏覽 868 次 發布時間:2025-05-20
3計算結果與分析
3.1基本撞擊過程
水滴撞擊深水液池后相界面的變化可以直觀反映出水滴撞擊的運動特性、水滴與池水的混摻過程以及撞擊所夾帶的氣泡大小。因此,使用經過驗證的數值方法研究直徑為290μm的水滴以2.5—6.5 m/s的速度撞擊深水液池的運動過程。
圖4不同工況下自由液面隨時間的運動過程
水滴以五種不同撞擊速度進入水池后自由表面的模擬輪廓以及水滴分布如圖4所示。藍色為氣相,紅色為水池部分液相,天藍色為水滴部分液相,從工況(a)—(e),水滴的撞擊速度不斷增大。在圖4(a)中,Fr=117.2,We=25.2,Re=725,水滴以較低速度撞擊深水液池,發生完全聚結現象,并在水池中形成底部夾帶一個氣泡的空腔,水滴入水后基本附著在自由液面之下。隨著時間增加,空腔開始向內坍縮,同時毛細波向空腔底部傳遞,使得水滴部分的水體向中心聚合并產生兩個對稱的渦,最終在空腔塌陷后對池水產生穿刺效應,池水在慣性力的作用下逐漸平復。在圖4(b)—(d)中,撞擊產生的空腔隨著水滴撞擊時動能的增加越來越大,空腔底部夾帶的氣泡不斷變小,隨著撞擊速度的增大,在空腔塌陷后,一個短而粗的射流在撞擊中心產生,且射流最大高度不斷增加。由于毛細波的傳遞速度加快,水滴入水后附著自由液面的面積也逐漸變大,產生的渦距離撞擊中心越來越遠。在圖4(e)中,Fr=792.1,Re=1885,We=170.2,水滴撞擊后首先產生一個U形空腔,最大深度再次增加,隨后由于毛細波的快速傳播推動空腔底部部分側壁收縮閉合,截留形成一個較大的氣泡,并在閉合處產生極細的射流,射流由于豎向剪應力較大,引起Plateau-Rayleigh不穩定性,在尖端斷裂生成多個二次滴,自由液面變化更為劇烈。
上述水滴撞擊水池的過程可以歸納為三個基本階段,第一階段為空腔的形成與膨脹;第二階段為毛細波傳播導致的空腔收縮;第三階段為空腔的回復。液滴撞擊深水液池時的運動分為完全聚結與部分聚結現象,在水滴與深水液池完全聚結時,水滴入水時由于水滴底部發生凹陷變形產生的氣泡夾帶隨著撞擊速度的增加而減小,而在部分聚結發生時氣泡的夾帶與截留行為則更為復雜。
3.2空腔運動的基本特性
為了深入探究微米級水滴撞擊深水液池后空腔運動的基本特性,對本文五個模擬工況進行定量研究。描述空腔幾何特征的基本參數如圖5所示,以初始靜水狀態下深水液池的液面高度為基準線,hw為基準線至波浪頂端的波浪隆起高度,h為基準線至空腔最低點的空腔深度,r為空腔基準線上軸對稱點處至空腔側壁的空腔寬度。下文涉及的所有長度單位均為實際長度除以初始水滴直徑D后的無量綱長度,時間t為實際時間乘以Vi/D后的無量綱時間。
圖6為不同工況下空腔深度h隨時間的變化過程。由圖6可以看出,液滴撞擊深水液池后,由于動能、空腔側壁隆起部分重力勢能以及表面張力能的驅動,空腔深度先以較快速度增長,其后增勢逐漸放緩,在到達最大空腔深度后快速回彈,至接近原自由液面后回彈速度逐漸放緩,近乎趨于直線。弗勞德數的增加對空腔深度變化影響顯著,在工況(a)中,弗勞德數僅為117.2,空腔能量耗散時程較短,回復較為迅速,隨著弗勞德數的增大,撞擊動能增大,回復時程也逐漸增加。值得注意的是,在工況(e)中,由于空腔形狀由U形轉變為近似梯形,空腔在t=1.5—2.6時先緩慢上升,隨后毛細波向空腔底部傳遞,促使其底部變為圓柱形,且深度繼續增加,最后空腔底部側壁坍塌形成射流,因此在t=2.6后空腔回復速度較其他工況更為迅速。將數值結果運用最小二乘法擬合,得到的擬合曲線表達式如(8)式所示,該式能夠在忽略毛細波運動的前提下,在空腔深度為h=D至達到最大深度的范圍內較好地描述了空腔深度隨時間的成長關系,Liow等與Ray等對液滴撞擊運動中時間與空腔深度的關系進行了建模,得出與本文相似的結論:
圖5空腔的幾何特征示意
圖6不同工況下空腔深度隨時間的變化
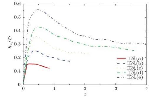
圖7及圖8分別為不同工況下波浪隆起高度hw和空腔寬度r隨時間的變化過程。由圖7易得,水滴撞擊水池后波浪高度的變化過程也經歷了從快速增長到逐漸回落,最終在慣性力的作用下自主運動,趨于穩定的過程。隨著弗勞德數的增大,更大的垂向速度在創造更深空腔的同時激發了更高的最大波浪隆起高度。從圖8可以看出,空腔寬度的增長與波浪的運動息息相關,在撞擊產生的動能與波浪自身重力勢能基本耗散后,空腔運動主要由毛細波及其干擾驅動,最后在慣性下線性增長。毛細波現象在圖8工況(e)的t=0.8時非常顯著,其周期在圖6的t=1.5—2.5中也有體現。
圖7不同工況下波浪隆起高度隨時間的變化
圖8不同工況下空腔寬度隨時間的變化
3.3空腔形成以及毛細波傳播機理
選取水滴完全聚結的工況(d)與水滴部分聚結的工況(e)對空腔形成以及毛細波傳播的機理進行深入研究。圖9為不同時間節點下工況(d)及工況(e)水滴撞擊深水液池空腔運動的等值線圖,其中左側為渦量場等值線圖,右側為壓力場等值線圖,黑色線條表示相界面。由圖9(a)可得,水滴撞擊液池后,空腔形狀由U形向V形轉變,最終腔底首先上升,形成沒有氣泡截留的射流。
研究表明,毛細波的傳播路徑與低壓區的形成息息相關。在圖9(a)壓力場等值線圖中可以看出,低壓區首先在空腔側壁與底部的交界處產生,隨后向空腔底部傳播,并形成一個相對尖銳的點,在空腔底部上升后,毛細波開始向下方傳遞,并逐漸趨于平緩。
在發生部分聚結現象的圖9(b)中,低壓區首先在波浪底部與側壁上交界處產生,并已經在相界面上形成了一個尖銳的折點,此時空腔形狀為半球形,隨后毛細波向空腔底部傳播,在底部中心空腔轉變為圓柱狀,低壓區附著在圓柱下方與底面交點,毛細波在空腔坍塌前并沒有到達空腔底部中心,而后空腔側壁坍塌形成氣泡截留,并在中心產生了快速射流液柱。
渦量定義為流體速度矢量的旋度,描述液體流動的剪切運動。在工況(d)中,如圖9(a)渦量場所示,流體渦量一直跟隨毛細波位置,當空腔坍塌產生慢速射流時,渦量在靠近液面區域以及空腔底部靠近對稱軸的區域各產生一個較大的渦環,而在工況(e)中,渦環的生成被抑制,流體僅在t=1.906時表現出一個靠近空腔底部的小渦環,而后渦環迅速消失。由渦量場與壓力場對比可得,渦量較大的區域并不總是處于低壓區內,撞擊運動初始自由液面的壓力差可能是渦量產生的誘因,但其后低壓區的運動與渦量之間并無較強的相關性。
4結論
本文采用基于自適應網格和VOF方法的開源程序Gerris對微小水滴撞擊深水液池后的流動過程以及空腔生長進行了數值模擬,研究了不同Fr數對撞擊后空腔毛細波運動以及氣泡截留的影響,主要得到以下結論。
1)在恰當的自適應條件下,Gerris程序能夠在節約計算資源的同時較為準確地預測水滴撞擊深水液池的運動,數值模擬所得的界面變形、空腔成長、毛細波的傳播以及中心射流過程與實驗結果符合良好。
圖9不同時間節點下水滴撞擊深水液池空腔運動的渦量場和壓力場等值線圖
2)液滴下落撞擊深水液池后,液面擴張形成一個空腔,其后隨著毛細波運動逐漸回縮。液滴完全聚合時,空腔形狀往往由U形向V形轉變;在液滴部分聚合生成細長中心射流并產生氣泡截留時,空腔初始形狀則近似一個半球形,其后在底部變形為圓柱形。
3)液滴撞擊深水液池后,空腔深度先以較快速度增長,在到達最大空腔深度后快速回彈,至接近原自由液面后速度逐漸放緩。在忽略毛細波作用、空腔深度為h=D至h=hmax范圍內的前提下,空腔深度隨時間的成長關系可由(Vit)/D=0.15(h/D)5/2來描述,但最終空腔底部的形成是由毛細波運動決定的;空腔寬度的增長主要由毛細波運動及其干擾驅動,最后在慣性力作用下線性增長。
4)毛細波運動可由壓力場中低壓區的位置示蹤,在撞擊速度較低,液滴完全聚結時(Fr=567.1,Re=1595,We=121.8),低壓區首先在空腔側壁與底部交界處產生,隨后向空腔底部傳播,在靠近液面以及空腔底部靠近中心區域各產生一個較大的渦環;在發生部分聚結現象,產生細長射流時(Fr=792.1,Re=1885,We=170.2),渦環的生成被抑制,低壓區首先在波浪底部與側壁上交界處產生,空腔底部變為圓柱狀后,毛細波在空腔坍塌前并沒有到達空腔底部中心,導致空腔側壁首先坍塌形成氣泡截留。





